Skip to content
REUSSITE-SN
Question-18
Chronomètre Gradué Personnalisé 30s
Question-18
Question-18
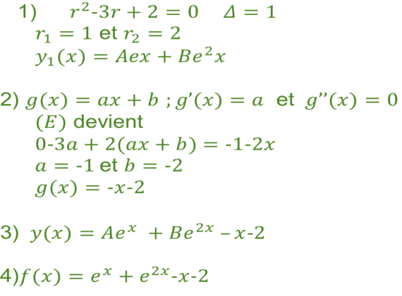
La réponse à la Question-18
Retour aux questions
Arrêter le chrono et afficher la réponse
Retour aux questions
Nous avons
614
inscrit(s)
Nom d'utilisateur ou E-mail
Mot de passe
Remember Me
Log In
Lost your password?
|
Register
Bienvenue
Vous devez avoir un compte pour accéder aux contenus des révisions
Creer un compte
Ou
Se connecter
✕
REUSSITE-SN
GRATUIT
VOIR