- Patte d’oie foire lot 5
- (221) 33 831 66 11
- contact@reussite-sn.com
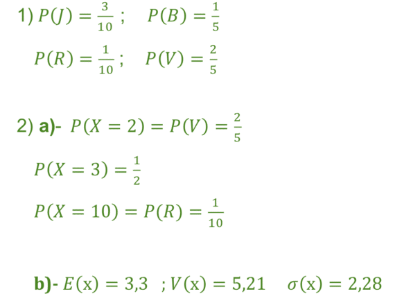
On considère une urne contenant 3 boules jaunes, 2 bleues, 1 rouge et 4 vertes toutes indiscernables au toucher. On tire au hasard une boule de l’urne.
1) Calculer la probabilité des évènements suivants :
J= « tirer une boule jaune »
B= « tirer une boule bleue
R= « tirer une boule rouge »
V= « tirer une boule verte »
2) En fonction de la couleur tirée, on se voit attribuer une somme d’argent selon la règle suivante :
-Rouge, on gagne 10F
-Verte, on gagne 2F
– Jaune ou bleue, on gagne 3F
Soit X la variable aléatoire qui associe à chaque tirage le gain réalisé
a)Déduire de la question 1 les valeurs de P(X=2) ; P(X=3) et P(X=10)
b)Calculer l’espérance mathématique de X, sa variation et son écart-type.


© Copyright 2025 by reussite-sn
