Question-35

Ousmane DIOUF
novembre 17, 2025
Chronomètre Gradué Personnalisé 30s

Question-35

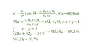
La densité de vapeur d’un mélange d’éthylène et de propène est d=1,3. Quel est la composition centésimale molaire du mélange ?

share Partager

Nous avons 701 inscrit(s)

Bienvenue

Vous devez avoir un compte pour accéder aux contenus des révisions