Skip to content
REUSSITE-SN
Quesion-8
Chrono Réussite-SN Pro
30
TEMPS ÉPUISÉ !
[show_question_if_allowed]
Quesion-8
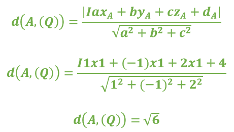
✅ Réponse
[/show_question_if_allowed]
Quesion-8
La réponse à la Quesion-8
Retour aux questions
Arrêter le chrono et afficher la réponse
Retour aux questions
Nous avons
25
inscrit(s)
Nom d'utilisateur ou E-mail
Mot de passe
Remember Me
Log In
Lost your password?
|
Register
Bienvenue
Vous devez avoir un compte pour accéder aux contenus des révisions
Creer un compte
Ou
Se connecter
✕
REUSSITE-SN
GRATUIT
VOIR