Chrono Réussite-SN Pro
30
TEMPS ÉPUISÉ !
[show_question_if_allowed]

Question-44

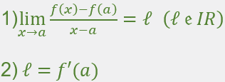
Recopier puis compléter la phrase suivante :
Une fonction f définie sur un intervalle ouvert I est dérivable en un réel a de I signifie que..① Et on note ce réel…②

[/show_question_if_allowed]

Nous avons 51 inscrit(s)

Bienvenue

Vous devez avoir un compte pour accéder aux contenus des révisions

REUSSITE-SN

GRATUIT
VOIR