Skip to content
REUSSITE-SN
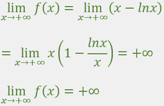
Question-44
Chrono Réussite-SN Pro
30
TEMPS ÉPUISÉ !
[show_question_if_allowed]
Question-44
✅ Réponse
[/show_question_if_allowed]
Question-44
La réponse à la Question-44
Retour aux questions
Arrêter le chrono et afficher la réponse
Retour aux questions
Nous avons
51
inscrit(s)
Nom d'utilisateur ou E-mail
Mot de passe
Remember Me
Log In
Lost your password?
|
Register
Bienvenue
Vous devez avoir un compte pour accéder aux contenus des révisions
Creer un compte
Ou
Se connecter
✕
REUSSITE-SN
GRATUIT
VOIR